空港花园安置房小区房屋租赁竞拍公告
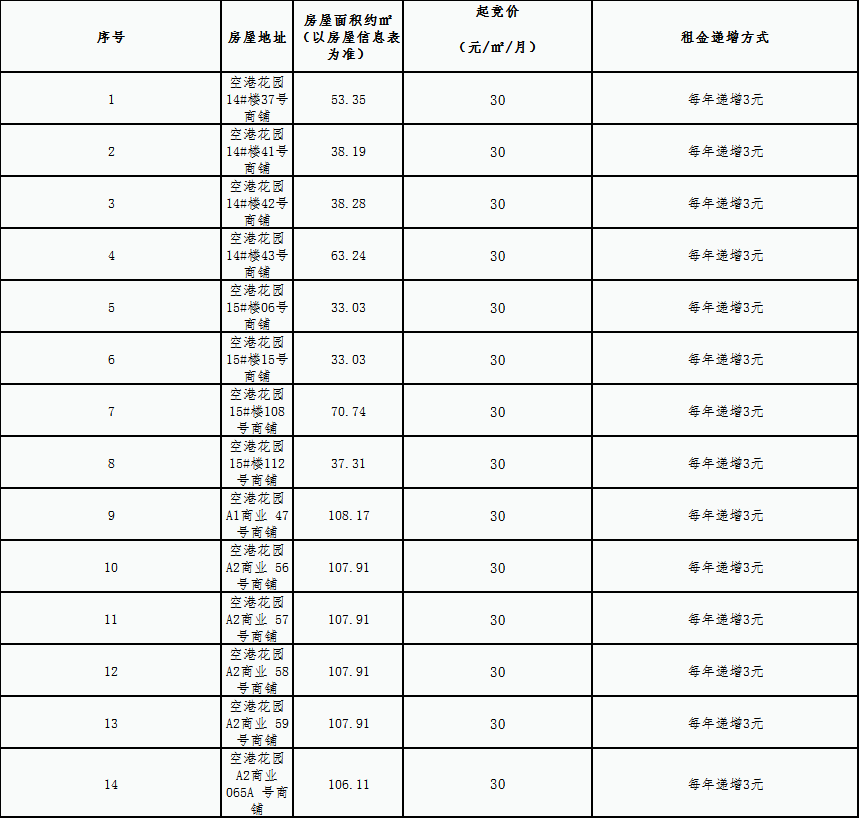
一、本次竞拍承包的房屋如下:

注:每间商铺的租赁经营权均为单独竞拍。
二、本次竞拍采用有声有底价竞拍方式。
三、有关本次竞拍的规则在南昌金开枫林物业管理有限公司报名点向公众发放。所有咨询答复以书面形式为准。
四、竞拍个人或企业在报名时须提供个人身份证原件、企业法人营业执照复印件加盖单位公章、法定代表人身份证明材料(或授权委托书)及本人身份证复印件(加盖单位公章及原件备查),参加竞拍个人或企业须交报名费500元(报名后不退还)及竞拍保证金5000元,否则不具备竞拍资格,未中标者竞拍保证金予以退还。中标人需在中标后一周内签订房屋租赁合同及物业服务合同,且在签订合同之日内一次性交清租赁合同履约保证金(合同第五年季度租金)及预缴首季度租金与首年度物业费后,竞拍保证金才能予以退还,否则做废标处理。竞拍人中标后不履行竞拍义务或未按时签订房屋租赁及物业服务合同,未按时缴纳租赁合同履约保证金及首年季度租金与年度物业费者不予退还竞拍保证金。
五、竞拍个人或企业应为中华人民共和国境内合法注册的具有独立法人资格的个人或单位。竞拍个人或企业按要求实名报名后,需亲自参加竞拍,亲自经营,不得转租、分租。
六、经营业态:不得经营具有影响商业价值或污染环境的业态(不得影响居民生活,造成投诉),不得违反国家法律法规相关规定。中标人须向招租单位申报具体经营业态,且经招租单位同意后方可经营(招租人对中标人经营业态的审批不视为对中标人经营行为的认可,中标人的经营行为及经营过程中所产生的法律责任及其他不良后果均由中标人自行承担,招租人不承担任何责任),否则作废标处理。
七、报名时间:发布公告之日起5个工作日为一个竞拍周期,每个竞拍周期满后若收到超过3人报名则组织竞拍,若未收到3人报名则进入下一个竞拍周期,将在南昌金开集团有限公司官网公布租赁商务条款的调整信息。
八、中标人及直接委托人定义:每一个竞拍周期报名结束后,有三个及以上报名人,将按照本公告规定的竞拍规则进行公开竞拍;当报名人数少于3人,则本次招租失败。若连续二次招租失败,在第三次竞拍报名期间(累计前2次)只有2人报名时,经招租人批准后,可采取现场比价方式,但不得低于招租底价;若只有1人报名时,经招租人批准后,可采取直接委托方式,委托租金单价为30元/㎡/月。本次竞拍只承认第一中标人,不按排名顺延中标人权利。
九、报名地点:南昌市赣江新区河下路99号金赣服务中心C栋(3号楼)717室
十、竞拍时间:视报名情况另行通知,竞拍人必须按另行通知规定时间进场签到,否则作弃权处理。
特别说明:(1)本次招租房屋涉及电表,水表、燃气等需中标人或直接委托人自费自行开户(包括材料及施工费用),房屋以现状出租,涉及一切维修改造工程产生的费用(包括但不限于房屋漏水、玻璃破损等)均由中标人自行承担,消防报建及其它审批手续中标人自行办理。
(2)租金不含物业管理费,需另外按每月2元/㎡收取,装修免租期为3个月,装修免租期内需正常缴纳。
最终解释权归南昌金开枫林物业管理有限公司所有。
银行帐户:南昌金开枫林物业管理有限公司
开户银行:中国农业银行南昌昌北支行营业部
帐 号:14-014101040037343
咨询电话:欧先生15079599953 戴先生15270023751
南昌金开枫林物业管理有限公司
2024年7月24日
空港花园安置房小区房屋租赁竞拍规则
一、竞拍人(含个人及企业,下同)应按主拍人提出的加价幅度进行竞拍,竞拍价按每月每平方米报价,房屋竞拍成功后按租期最后一年季度租金金额缴纳合同履约保证金中标人一周内签订合同,履约保证金及预缴首年一个季度租金与季度物业费在签订合同之日内一次性交清,否则做废标处理。二、本次竞拍采用有底价、有声竞拍的形式。竞拍开始后,首次叫价为增幅后报价,不低于30.5元/平方米/月,每次报价增幅最低不低于0.5元/平方米/月的整倍数,如出现竞拍人仅举牌不叫价情况,即默认为在上一轮叫价基础上增加0.5元/平方米/月,否则应价无效。当最高价(超过底价)未有人追加竞价时,主拍人对该价重复三次报价,第三次重复报价无人应价,由主拍人宣布成交。本次竞拍取达到底价的最高报价人作为中标人,中标人若放弃中标人权力,不按排名顺延中标人,我司将做废标处理。
三、本次竞拍只报起竞价,房屋每间租金起竞价为:

四、竞拍人应遵守大会的会场秩序,服从会场管理,对扰乱会场秩序,影响会议正常进行的,取消竞拍资格且没收竞拍保证金。
五、竞拍开始后,不解答竞拍人提出的任何问题,请竞拍人会前对竞拍公告及本规则仔细研究,提出咨询。
六、竞拍人必须凭本人身份证实名报名,本人亲自参加竞拍,亲自经营。如果经营者以他人名义竞拍,对其经营中的一切问题和后果均不负任何责任。
七、竞拍报名人凭报名收据领取号牌(一牌限两人入场),只供本人使用或书面委托他人使用。书面委托他人的,竞拍人须向招租单位出示书面委托书,被委托人须持委托书和本人身份证向招租单位申请竞拍资格。中途发现冒名顶替或串通作弊的,招租单位有权中止其竞拍资格,并没收其竞拍保证金。未经允许交他人使用的,其后果由竞拍人本人负责。应价时应举牌同时高声报价。
八、中标个人或企业在中标后一周内签订房屋租赁及物业服务合同,签订合同当天需缴纳租赁合同履约保证金及首季度租金与年度物业费,否则招租单位有权选择作废标处理,竞拍保证金不予退还。该竞拍者不得提出任何异议。
特别说明:(1)本次招租房屋涉及电表,水表、燃气等需中标人或直接委托人自费自行开户(包括材料及施工费用),房屋以现状出租,涉及一切维修改造工程产生的费用(包括但不限于房屋漏水、玻璃破损等)均由中标人自行承担,消防报建及其它审批手续中标人自行办理。
(2)租金不含物业管理费,需另外按每月2元/㎡收取,装修免租期为3个月,装修免租期内需正常缴纳。
最终解释权归南昌金开枫林物业管理有限公司所有。
南昌金开枫林物业管理有限公司
2024年7月24日
2024年7月24日